Форум
Войти
Регистрация в портале
Карта сайта
Расширенный поиск
Архивное дело
Видеоматериал
Документ с номером
Информация о статье
Мероприятие
Новость
Организация
Персона
Проект
Публикация
Раздел хранилища файлов
Сообщение форума
Файл
Фоторепортаж
Электронная коллекция
Об Академии
Президиум РАН
Структура РАН
Члены РАН, почётные звания
Государственное задание РАН
Фундаментальные научные исследования
Экспертное научное обеспечение
Научные советы, комитеты, комиссии
Научно-издательская деятельность
Популяризация науки
Новости, пресса
Профсоюз работников РАН
Версия для печати
Дело № 71
Название:
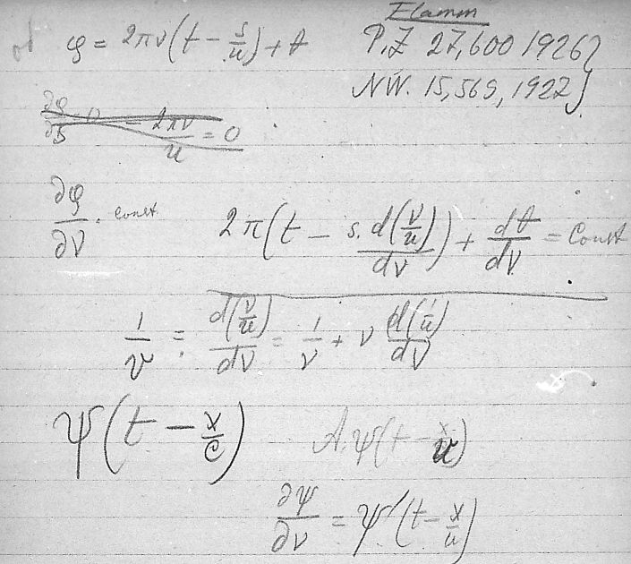
Вавилов Сергей Иванович. "Скорость света. Гл. 1".
Вид материала:
выписки, наброски, черновики
Способ воспроизведения:
автограф
Языки:
русский
Крайние даты:
1928
Изображения страниц:
1
2
3
4
5
6
7
8
9
10
11
12
13
14
15
16
17
18
19
20
21
22
23
24
25
26
27
28
29
30
31
32
33
34
35
36
37
38
39
40
41
42
Подразделы
Историческая справка
Законы, указы, постановления, распоряжения
Устав РАН
Отчет о результатах деятельности Академии
Общее собрание РАН
Президент РАН
Награды РАН
Действующие научные системы РАН
Сеть MathNet
Электронные коллекции
Архив почетного академика Н.А.Морозова
Архив академика В.И.Вернадского
Архив академика C.И.Вавилова
Опись 1
Опись 2
Опись 3
Опись 3а
Опись 4
Архив академика В.Л.Комарова
Архив К. Э. Циолковского
Архив А. В. Флоровского
Международное сотрудничество
Сотрудничество с Российскими организациями
Антикоррупционная деятельность
Здания и музеи РАН
Объявления
Продолжается приём документов на соискание премии Президента Российской Федерации для молодых учёных за 2025 год
О КОНКУРСАХ НА СОИСКАНИЕ ЗОЛОТЫХ МЕДАЛЕЙ ИМЕНИ ВЫДАЮЩИХСЯ УЧЕНЫХ, ПРОВОДИМЫХ РОССИЙСКОЙ АКАДЕМИЕЙ НАУК В 2025 ГОДУ
Сводные данные о результатах проведения специальной оценки труда
Утвержденные значения нормативных затрат на выполнение работ государственного задания региональных отделений РАН на 2025 год и плановый период 2026 и 2027 годов