Форум
Войти
Регистрация в портале
Карта сайта
Расширенный поиск
Архивное дело
Видеоматериал
Документ с номером
Информация о статье
Мероприятие
Новость
Организация
Персона
Проект
Публикация
Раздел хранилища файлов
Сообщение форума
Файл
Фоторепортаж
Электронная коллекция
Об Академии
Президиум РАН
Структура РАН
Члены РАН, почётные звания
Государственное задание РАН
Фундаментальные научные исследования
Экспертное научное обеспечение
Научные советы, комитеты, комиссии
Научно-издательская деятельность
Популяризация науки
Новости, пресса
Профсоюз работников РАН
Версия для печати
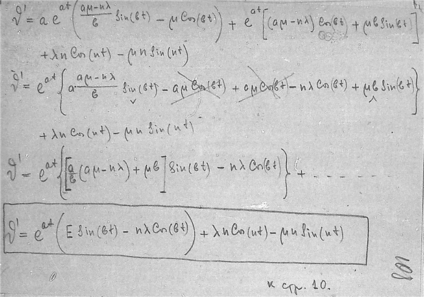
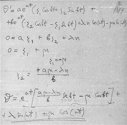
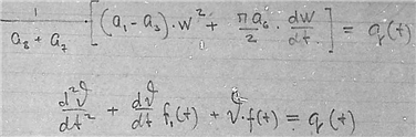
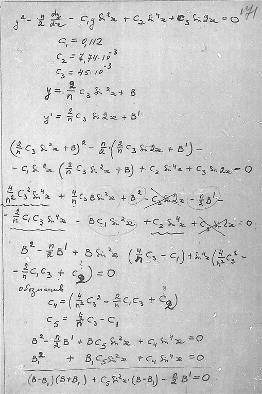
Дело № 10
Название:
Геометрический расчет оболочки корабля ДЦ-12, сделанный К.Э. Циолковским.
Вид материала:
проект
Способ воспроизведения:
автограф
Языки:
русский
Крайние даты:
1937
Изображения страниц:
1
2
3
4
5
6
7
8
9
10
11
12
13
14
15
16
17
18
19
20
21
22
23
24
25
26
27
28
29
30
31
32
33
34
35
36
37
38
39
40
41
42
43
44
45
46
47
48
49
50
51
52
53
54
55
56
57
58
59
60
61
62
63
64
65
66
67
68
69
70
71
72
73
74
75
76
77
78
79
80
81
82
83
84
85
86
87
88
89
90
91
92
93
94
95
96
97
98
99
100
101
102
103
104
105
106
107
108
109
110
111
112
113
114
115
116
117
118
119
120
121
122
123
124
125
126
127
128
129
130
131
132
133
134
135
136
137
138
139
140
141
142
143
144
145
146
147
148
149
150
151
152
153
154
155
156
157
158
159
160
161
162
163
164
165
166
167
168
169
170
171
172
173
174
175
176
177
178
179
180
181
182
183
184
185
186
187
188
189
190
191
192
193
194
195
196
197
198
199
200
201
202
203
204
205
206
207
208
209
210
211
212
213
214
215
216
217
218
219
220
221
222
223
224
225
226
227
228
229
230
231
232
233
234
235
236
237
238
239
240
241
Подразделы
Историческая справка
Законы, указы, постановления, распоряжения
Устав РАН
Отчет о результатах деятельности Академии
Общее собрание РАН
Президент РАН
Награды РАН
Действующие научные системы РАН
Сеть MathNet
Электронные коллекции
Архив почетного академика Н.А.Морозова
Архив академика В.И.Вернадского
Архив академика C.И.Вавилова
Архив академика В.Л.Комарова
Архив К. Э. Циолковского
Опись 1
Опись 1А
Опись 2
Опись 3
Опись 4
Архив А. В. Флоровского
Международное сотрудничество
Сотрудничество с Российскими организациями
Антикоррупционная деятельность
Здания и музеи РАН
Объявления
Продолжается приём документов на соискание премии Президента Российской Федерации для молодых учёных за 2025 год
О КОНКУРСАХ НА СОИСКАНИЕ ЗОЛОТЫХ МЕДАЛЕЙ ИМЕНИ ВЫДАЮЩИХСЯ УЧЕНЫХ, ПРОВОДИМЫХ РОССИЙСКОЙ АКАДЕМИЕЙ НАУК В 2025 ГОДУ
Сводные данные о результатах проведения специальной оценки труда
Утвержденные значения нормативных затрат на выполнение работ государственного задания региональных отделений РАН на 2025 год и плановый период 2026 и 2027 годов